醋酸奥曲肽注射液
2025-12-25 10:21 点击:

【药品名称】
通用名称:醋酸奥曲肽注射液
英文名称:Octreotide Acetate Injection
汉语拼音:Cusuan Aoqutai Zhusheye
【成份】
本品活性成分为醋酸奥曲肽。
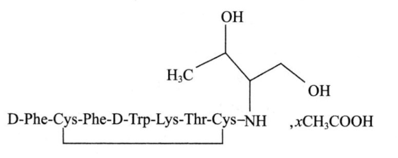
化学名称:醋酸奥曲肽,D-苯丙氨酰-L-半胱氨酰-L-苯丙氨酰-D-色氨酰-L-赖氨酰-L-苏氨酰-L-半胱氨酰-L-苏氨醇环(2→7)二硫化物醋酸盐
其结构式为:

分子式:C49H66N10O10S2•xC2H4O2
分子量:1019.26•x60.02
本品所含辅料为:L-乳酸、甘露醇、碳酸氢钠、注射用水。
【性状】
本品为无色的澄明液体
【适应症】
控制手术治疗或放射治疗不能充分控制病情的肢端肥大症患者的症状并降低患者的生长激素(GH)和胰岛素样生长因子-1(IGF-1)血浆水平。醋酸奥曲肽注射液也可治疗不能或不愿手术的肢端肥大症患者,或者治疗放射治疗尚未生效的间歇期肢端肥大症患者。
缓解与功能性胃肠胰腺(GEP)内分泌肿瘤有关的症状,如具有类癌综合征表现的类癌瘤。
醋酸奥曲肽注射液不是抗癌药,不能治愈这些患者。
预防胰腺手术后并发症。
肝硬化患者胃-食管静脉曲张所致出血的紧急治疗,止血和预防再出血,醋酸奥曲肽注射液应与内窥镜硬化剂等特殊治疗联用。
【规格】
1ml:0.1mg (以C49H66N10O10S2计)
【用法用量】
肢端肥大症
开始每8小时或12小时皮下注射一次,每次0.05~0.1毫克,然后每月依循环GH、IGF-1水平和临床反应及耐受性做相应调整(目标:GH小于2.5纳克/毫升;IGF正常范围)。多数病人每日最适剂量为0.2~0.3毫克。对长期接受同一剂量治疗的病人每6个月测定一次GH浓度。
每日不得超过1.5毫克的最大剂量,通过监测血浆GH 水平,治疗数月后可酌情减量。
如果用药1个月内仍无GH水平的降低和无临床反应,应考虑停药。
胃肠胰内分泌肿瘤
最初皮下注射每日一到两次,每次0.05毫克,根据临床反应和肿瘤分泌的激素浓度(在类癌的情况下,根据5-羟吲哚乙酸的尿液排泄量)以及耐受性,渐增至每次0.1~0.2毫克,每日三次。个别病例可能需要更高的剂量。维持剂量因个体差异而定。
如果用药后1周内临床症状和实验室检查未改善,应停药。
预防胰腺手术后并发症
皮下注射每日三次,每次0.1毫克,连续7天,第一次用药至少在术前1小时进行。
食管-胃静脉曲张出血
连续静脉滴注0.025毫克/小时,最多治疗5天。奥曲肽可用生理盐水稀释。
在食管-胃静脉曲张出血的肝硬化患者中,可给予奥曲肽连续静脉滴注,0.05毫克/小时持续5天。
特殊病人用药剂量
肝功能不全
肝硬化病人的药物半衰期延长,所以需要改变维持剂量。
肾功能不全
在需要透析的重度肾衰患者中,奥曲肽的半衰期可能延长,需要调整维持剂量。
【药物过量】
在成人和儿童中报告奥曲肽意外用药过量的数量有限。在成人中剂量范围2400~6000μg /天,通过连续输注(100~250μg/小时)或皮下注射(1500μg/天,每天3次)给药。报道的不良事件为心律失常、低血压、心脏停搏、脑缺氧、胰腺炎、肝脏脂肪变性、腹泻、无力、困倦、体重下降、肝肿大和乳酸酸中毒。有报道奥曲肽高剂量持续输注(100μg/h)和/或静脉推注(50μg静脉推注后50μg/h持续输注)后,出现房室传导阻滞(包括完全性房室传导阻滞)的情况。
在儿童中,剂量范围为50~3000μg/天,通过连续输注(2.1~500μg/小时)或皮下注射(50~100μg)给药。儿童患者用药过量,唯一报告的不良事件为轻度的高血糖症。
对过量用药者采取对症治疗。接受高于推荐静脉给药剂量奥曲肽的病人有更高出现高度房室传导阻滞的风险,应该给予适当心脏监测措施。
【使用注意事项】
皮下注射给药
对自行用药的病人,医生或护士必须给予正确指导。
药液应达到室温再用,以减少局部不适感。避免同一部位短期多次注射。
直到马上用药前方可打开注射剂瓶。任何剩余不用的药液都应抛弃。
为防止污染,多剂药瓶不应穿刺超过10次。
静脉滴注
使用前应用肉眼观察是否有颜色改变和颗粒出现。
在无菌生理盐水或5%葡萄糖溶液中奥曲肽可保持理化性质稳定达24小时。但由于奥曲肽会影响葡萄糖体内平衡,故建议使用生理盐水而不用葡萄糖。尽管在25℃以下稀释药液可维持理化活性达24小时,但考虑到微生物的污染,配制好的药液应当立即使用。如果不立即使用,应保存于2~8℃的条件下。使用前药液需达到室温。重新配制药液、用溶媒稀释、冰箱保存直至用药结束时间不应超过24小时。
需静脉滴注奥曲肽时,通常应将0.5毫克奥曲肽溶于60毫升生理盐水中,并用输液泵滴注直到疗程结束。奥曲肽也可低浓度静滴。
将药物置于儿童无法触及的地方。
注射用醋酸奥曲肽溶液中含有不超过1毫摩尔(23毫克)钠盐,因此基本上不含有钠。
醋酸奥曲肽在全胃肠外营养(TPN)溶液中是不稳定的。
【药代动力学】
吸收
奥曲肽皮下注射后吸收迅速且完全,30分钟内血浆浓度达到峰值。
分布
分布容积是0.27升/千克,总体清除率是160毫升/分钟,血浆蛋白结合率达65%,与血细胞结合的奥曲肽可忽略不计。
消除
皮下注射给药的消除半衰期为100分钟。静脉注射后其消除呈双相,半衰期分别为10分钟和90分钟。大部分肽经粪便排泄,约32%在尿中以原型排出。
特殊患者人群
在肾功能损害患者中,奥曲肽的血浆消除时间延长,全身清除率降低。轻度肾功能损害(肌酐清除率为40 - 60毫升/分钟)中,奥曲肽的t1/2为2.4小时,全身清除率为8.8升/小时;中度肾功能损害(肌酐清除率为10 - 39毫升/分钟)中,t1/2为3.0小时,全身清除率为7.3升/小时;以及在不需要透析的重度肾功能损害患者(肌酐清除率<10毫升/分钟)中,t1/2为3.1小时,全身清除率为7.6升/小时。在需要透析的重度肾衰患者中,全身清除率降至健康受试者的约一半(从约10升/小时降至4.5升/小时)。肝硬化,而非脂肪肝,可能会使患者的消除能力下降。
【贮藏】
避光,密闭,在2-8℃保存。
【有效期】
24个月
【上市许可持有人】
企业名称:海南双成药业股份有限公司
注册地址:海口市秀英区兴国路16号
【生产企业】
企业名称:海南双成药业股份有限公司
生产地址:海口市秀英区兴国路16号
邮政编码:570314
电话号码:0898-68510103、68561220
传真号码:0898-68512597
网 址:http://www.shuangchengmed.com




